What Is Deed Of Assignment And Transfer Of Rights





Deed Of Assignment And Transfer Of Rights

Deed Of Assignment And Transfer Of Rights

Deed Of Assignment And Transfer Of Rights Assignment Law Cheque

Deed Of Assignment And Transfer Of Rights Assignment Law Cheque

Deed Of Assignment And Transfer Of Rights

Deed Of Assignment And Transfer Of Rights

Doc Deed Of Assignment And Transfer Of Rights Raj Mauga Academia Edu

Doc Deed Of Assignment And Transfer Of Rights Raj Mauga Academia Edu

Deed Of Assignment And Transfer Of Rights Affidavit Assignment Law

Deed Of Assignment And Transfer Of Rights Affidavit Assignment Law

Deed Of Assignment And Transfer Of Rights Assignment Law Manila

Deed Of Assignment And Transfer Of Rights Assignment Law Manila

Deed Of Assignment And Transfer Of Rights Assignment Law Manila

A deed of assignment can be done in one transaction instead of one transaction for each item of intellectual property by transferring all ownership rights of all intellectual property detailed in the deed.

What is deed of assignment and transfer of rights. An assignment of contract is used when a person company who originally was a party to a contract assignor transfers his its rights under the contract to another party assignee. The document is signed by both the buyer and seller. When an owner transfers property by deed the deed identifies the new property owner and the seller. Accordingly when the deed of assignment and transfer of rights has been.

The deed of assignment is a very important document that should be kept at safely stored at all times particularly in the case of real estate. The lender will enter into an assignment agreement and assign the note and the mortgage to another party. When a debtor transfers real estate to a creditor the assignment of deed is the legal document used to record this transfer. A deed of assignment is a legal document that is used in the transfer of real estate and land property.

Deed of assignment and transfer of rights 1. Deed of assignment transfer of rights what is a deed of assignment. However the parties also need to verify its legal validity and whether it should be recorded with the county s recorder s office. No payment is required for it to be valid.

If you need help with the transfer of rights in the property you can post your legal need on upcounsel s marketplace. This happens frequently with mortgage loans as lenders sell loans to other lenders. The parties may also choose to accomplish assignment. A deed of assignment and transfer of rights is a legal document used when a person or a company who originally was a party to a contract also known as the assignor or transferor transfers his or its rights under the contract to another party the assignee or transferee.

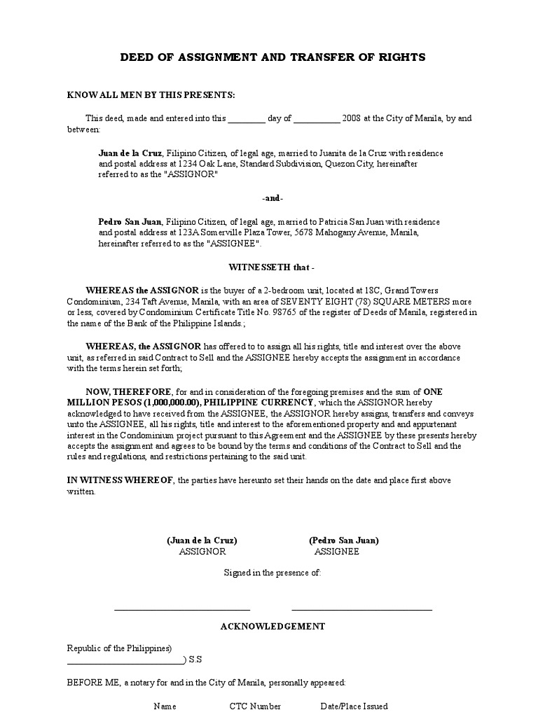
Assigning a contract an assignment occurs when one party to a contract transfers or assigns its rights and obligations under the contract to another party. Partial assignment is a transfer of a specific part of the interest. Deed of assignment and transfer of rights br br br know all men by this presents br br this deed made and entered into this day of 2010 at the city of cebu by and between br br juan de la cruz filipino citizen of legal age married to juanita de la cruz with residence and postal address at 1234 oak lane.

Free 16 Deed Of Assignment Samples In Pdf Ms Word

Free 16 Deed Of Assignment Samples In Pdf Ms Word

Deed Of Assignment And Transfer Of Rights 5143kpovx2lj

Deed Of Assignment And Transfer Of Rights 5143kpovx2lj

Deed Of Assignment And Transfer Of Rights

Deed Of Assignment And Transfer Of Rights

Deed Of Assignment And Transfer Of Rights Assignment Law Deed

Deed Of Assignment And Transfer Of Rights Assignment Law Deed

Deed Of Sale And Assignment Lease Template By Business In A Box

Deed Of Sale And Assignment Lease Template By Business In A Box

Deed Of Assignment Sample Template Word And Pdf

Deed Of Assignment Sample Template Word And Pdf

Deed Of Assignment Of Real Property Realty Mogul Property Management

Deed Of Assignment Of Real Property Realty Mogul Property Management

Deed Of Assignment And Transfer Of Rights

Deed Of Assignment And Transfer Of Rights

Deed Of Assignment Of Shares D4pq6v9r1rnp

Deed Of Assignment Of Shares D4pq6v9r1rnp

Assignment Of Contract Template By Business In A Box

Assignment Of Contract Template By Business In A Box

Deed Of Assignment And Transfer Of Rights

Deed Of Assignment And Transfer Of Rights

Deed Of Assignment Of Shares Template Assignment Law Natural Resources Law

Deed Of Assignment Of Shares Template Assignment Law Natural Resources Law

Assignment Of Intellectual Property Rights Deed

Assignment Of Intellectual Property Rights Deed

What Is A Deed Of Assignment And The Foolish Risk Your Taking For Not Having A Deed Of Assignment For Your Land Omonile Lawyer

What Is A Deed Of Assignment And The Foolish Risk Your Taking For Not Having A Deed Of Assignment For Your Land Omonile Lawyer

Source : pinterest.com